Kru重构树

xyzfrozen Lv5

Kru 重构树

https://www.luogu.com.cn/blog/me-immortal/kruskal-chong-gou-shu

https://www.luogu.com.cn/blog/mywd-ylyy/kruskal-zhong-gou-shu

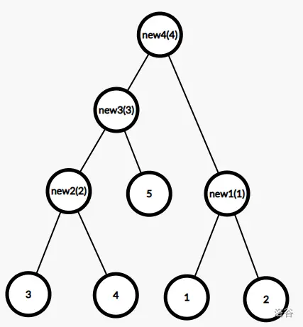
构造的过程很像 生成树

解决 从A点走到B点的所有路径中,最长的边最小值是多少 这类问题

考虑

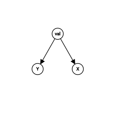
我们新建节点 的点权为 ,建边

image

image

image

image

image

性质

  1. 是一棵二叉树,点数

  2. 若边权升序,则它是一个大根堆

  3. 原图中两个点间所有路径上的边最大权值的最小值 = 最小生成树上两点简单路径的边最大权值= Kruskal 重构树上两点 LCA 的点权

  4. 重构树中代表原树中的点的节点全是叶子节点,其余节点都代表了一条边的边权

关于第三点,边权越大,其对应的点 越小,证明显然

新点的点权的含义就是左右子树中的点想要互通,必须要走至少一条边权等于这个点权的边

problem

模板题

P1967 [NOIP2013 提高组] 货车运输

改成最大 重构树即可

1
2
3
4
5
6
7
8
9
10
11
12
13
14
15
16
17
18
19
20
21
22
23
24
25
26
27
28
29
30
31
32
33
34
35
36
37
38
39
40
41
42
43
44
45
46
47
48
49
50
51
52
53
54
55
56
57
58
59
60
61
62
63
64
65
66
67
68
69
70
71
72
73
74
75
76
77
const int N=3e4+10,M=5e4+10;
int n,m,q,u,v,w,T;
int p[N],val[N],d[N],fa[N][19],vis[N];
struct node{
int u,v,w;
bool operator<(const node&Q)const{
return w>Q.w;
}
}ed[M];
vector<int> as[N];

void kru()
{
for(int i=1;i<=2*n-1;i++) p[i]=i;
sort(ed+1,ed+1+m);

T=n;
for(int i=1;i<=m;i++)
{
int a=ed[i].u,b=ed[i].v,c=ed[i].w;
int x=find(a),y=find(b);
if(x!=y)
{
p[x]=p[y]=++T;
as[T].pb(x),as[T].pb(y);
val[T]=c;
}
if(T==2*n-1) break;
}
}

void dfs(int x,int rt)
{
vis[x]=1;
d[x]=d[rt]+1;
fa[x][0]=rt;
for(int k=1;(1<<k)<=d[x];k++)
fa[x][k]=fa[fa[x][k-1]][k-1];
go(v) dfs(v,x);
}

int lca(int x,int y)
{
if(d[x]<d[y]) return lca(y,x);
int dh=d[x]-d[y],li=log2(dh);
for(int k=li;k>=0;k--)
if((dh>>k)&1) x=fa[x][k];
if(x==y) return x;
li=log2(d[x]);
for(int k=li;k>=0;k--)
if(fa[x][k]!=fa[y][k]) x=fa[x][k],y=fa[y][k];
return fa[x][0];
}

signed main()
{
n=fr(),m=fr();
for(int i=1;i<=m;i++)
{
u=fr(),v=fr(),w=fr();
ed[i]={u,v,w};
}

kru();
for(int i=T;i>n;i--)
if(!vis[i]) dfs(i,0);

q=fr();
while(q--)
{
u=fr(),v=fr();
if(find(u)!=find(v)) puts("-1");
else fw(val[lca(u,v)]),nl;
}

return 0;
}

P4768 [NOI2018] 归程

考虑答案路径

,前面一段开车,后面一段走路

双条件,分解条件

先考虑海拔,即第一段 这一段的路径长度是不管的

再考虑 ,既然已经下车了,这就是个单源最短路

题目要求回到 ,为什么不是任意的点对 ,这就说明需要对 有一些特殊处理!!

我们现在就是要找到这个

满足的性质是,从 走到 ,最小边权 ( 的最短路) 最小

这就是一个典型的 重构树问题,维护重构树内部最小值即可

每次暴力往上跳,直到

1
2
3
4
5
6
7
8
9
10
11
12
13
14
15
16
17
18
19
20
21
22
23
24
25
26
27
28
29
30
31
32
33
34
35
36
37
38
39
40
41
42
43
44
45
46
47
48
49
50
51
52
53
54
55
56
57
58
59
60
61
62
63
64
65
66
67
68
69
70
71
72
73
74
75
76
77
78
79
80
81
82
83
84
85
86
87
88
89
90
91
92
93
94
95
96
97
98
99
100
101
102
103
104
105
106
107
108
109
110
111
112
113
114
115
116
117
118
119
120
121
const int N=4e5+10,M=4e5+10;
int n,m,Q,u,v,w,l,k,s,st,lim,T;
int d[N],p[N],val[N],fa[N][20],dep[N],mint[N];
struct node{
int u,v,w,l;
bool operator<(const node&Q)const{
return l>Q.l;
}
}ed[M];
vector<pi> as[N];
vector<int> tr[N];

void kru()
{
memset(val,0,sizeof val);
for(int i=1;i<=2*n-1;i++) tr[i].clear(); //这里清空不能是 [n+1,2*n-1] 可能之前的询问 [1,n] 也有 son
for(int i=1;i<=2*n-1;i++) p[i]=i;
sort(ed+1,ed+1+m);

T=n;
for(int i=1;i<=m;i++)
{
int a=ed[i].u,b=ed[i].v,c=ed[i].l;
int x=find(a),y=find(b);
if(x!=y)
{
p[x]=p[y]=++T;
tr[T].pb(x),tr[T].pb(y);
val[T]=c;
}
if(T==2*n-1) break;
}
}

int dfs(int x,int rt)
{
dep[x]=dep[rt]+1;
fa[x][0]=rt,mint[x]=d[x]; //子树内最小值
for(int k=1;(1<<k)<=dep[x];k++) fa[x][k]=fa[fa[x][k-1]][k-1];
for(auto &v:tr[x]) mint[x]=min(mint[x],dfs(v,x));
return mint[x];
}

void prework()
{
priority_queue<pi,vector<pi>,greater<pi>> q;
memset(d,0x3f,sizeof d);
memset(p,0,sizeof p);
d[1]=0;
q.push({0,1});

while(q.size())
{
auto t=q.top();
q.pop();

int x=t.se;
if(p[x]) continue;
p[x]=1;

go(it)
{
int v=it.fi,w=it.se;
if(d[v]>d[x]+w)
{
d[v]=d[x]+w;
q.push({d[v],v});
}
}
}

kru();
memset(mint,0x3f,sizeof mint);
memset(fa,0,sizeof fa);
memset(dep,0,sizeof dep);
dfs(T,0);
}

int query(int x)
{
int ans=mint[st];
int li=log2(dep[x]);
for(int k=li;k>=0;k--)
if(val[fa[x][k]]>lim) //暴力跳 k 会之间减小
{
ans=min(ans,mint[fa[x][k]]);
x=fa[x][k];
}
return ans;
}

void solve()
{
n=fr(),m=fr();
for(int i=1;i<=n;i++) as[i].clear();
for(int i=1;i<=m;i++)
{
u=fr(),v=fr(),w=fr(),l=fr();
as[u].pb({v,w}),as[v].pb({u,w});
ed[i]={u,v,w,l};
}
prework();

int lt=0;
Q=fr(),k=fr(),s=fr();
while(Q--)
{
int v0=fr(),p0=fr();
st=(v0+k*lt-1)%n+1;
lim=(p0+k*lt)%(s+1);
fw(lt=query(st)),nl;
}
}

signed main()
{
int _T=fr();
while(_T--) solve();

return 0;
}
  • 标题: Kru重构树
  • 作者: xyzfrozen
  • 创建于 : 2023-10-13 23:15:44
  • 更新于 : 2025-06-18 18:13:05
  • 链接: https://xyzfrozen.github.io/undefined/Kru重构树/Kru重构树/
  • 版权声明: 本文章采用 CC BY-NC-SA 4.0 进行许可。
评论